零零七测算网
弘扬传统文化,破除封建迷信
倡导科学理念,促进社会和谐
马

午年生人,其性好动不好静,多喜出风头,而对社会交际极为巧妙,且多管他人事,备受人敬爱,并有贵人牵引以至成功,此人欲好外观,对内事缺乏观察

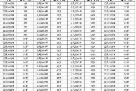
属马的人出生年份表
出生年份 2014年 2002年 1990年 1978年 1966年 1954年 1942年 1930年
今年几岁 12岁 24岁 36岁 48岁 60岁 72岁 84岁 96岁
属马人三合生肖
属马人相冲生肖

最新文章

2025年12月
18
农历 十月廿九
乙巳年【蛇年】
戊子月 辛酉日

最新更新

解关帝灵签第九十签解签

算命上上婚是什么意思

运势星座7月

河北临城东升算命女人

天秤座最离不开的星座是哪些- 天秤座离不开一个人的表现

2019年11月19号午时出生的男孩怎么起名字会受益终生姓名

为大雪午时出生的女宝宝起名的注意事项和方法姓名

四象星座的特点和性格 四象星座的的四大天王

虎年大雪节气出生的孩子起名,新颖大气的名字姓名

八字算命
八字合婚
八字取名
民间算命

指纹算命

手相查询

痣相图解

生男生女

眼皮跳测吉凶

喷嚏预测

占卜抽签
快速算命
配对
配对
配对
配对
查询
生日密码